¿Sabes qué es un sociograma?
El pasado 27 de Octubre, el profesor de la asignatura nos explico qué era un sociograma y nos animó a realizar uno.
El sociograma es una herramienta útil que representa las relaciones entre un grupo de sujetos. Es muy interesante debido a que está basado en el análisis de redes. Con él, podemos ver los lazos existentes entre los diferentes sujetos, así como ver quiénes son los líderes de grupo y quiénes se encuentran más aislados. De cara a la educación es una herramienta que puede ser muy usada en clase. Muchas veces, los docentes pueden tener ciertas sospechas de determinadas situaciones (ej. bullying o aislamientos sociales) que se dan en el ámbito escolar pero con un sociograma pueden confirmar estas sospechas y actuar para solucionar estos problemas.
Decidí hacerlo con los integrantes de mi grupo de amigos, ya que me resultaba interesante ver cuáles eran los resultados. Es cierto que, aunque somos un grupo de 8 personas, hay varios de ellos a los que vemos con menos afluencia debido a que viven en ciudades diferentes, por lo que más o menos podría esperar unos determinados resultados.
Antes de realizar el sociograma como tal, debemos elaborar una matriz sociométrica. Lo primero que debemos hacer es preguntar por temas relacionados con la materia y que te resulte interesante como, por ejemplo, ¿con quién te harías el trabajo trimestral? ¿Con quién no?
Las personas del grupo a estudiar solo tendrán 3 opciones por pregunta:
- Eliges a dos personas como máximo
- Eliges sólo una persona
- No eliges a nadie
Los resultados obtenidos fueron los siguientes:
![]() |
| Matriz Sociométrica |
Las elecciones se escriben en negro y los rechazos en rojo (ambos por orden de preferencia). Respecto a las expectativas, estas siguen la misma norma de colores y se marcan con asterisco.
- NER. Número de elecciones recibidas
- SER. Suma de elecciones recibidas
- NRR. Número de rechazos recibidos
- SRR. Suma de rechazos recibidos
- XPI. Número de expectativas positivas individuales
- XPIA. Número de expectativas positivas individuales acertadas
- XRI. Número de expectativas negativas individuales
- XRIA. Número de expectativas negativas individuales acertadas.
![]() |
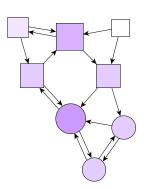
| Sociograma de aceptación |
Como podemos observar, los líderes del grupo corresponden con una mujer y con un hombre, ambos han sido los más elegidos y con los que más sujetos del grupo les gustaría trabajar en equipo. También podemos observar que a medida que tienen menos flechas o menos elecciones, el color de su figura es más débil hasta llegar incluso al color blanco. El sujeto de color blanco es aquella persona que no ha sido elegida por nadie, por lo que podríamos determinar que se encuentra aislada del grupo.
Esta gráfica se analiza de forma diferente, debido a que el sujeto que posea el tamaño más grande o el color más intenso será aquel con el que nadie quiere trabajar por determinados motivos. La mayoría de las veces, el que no ha recibido ninguna elección en la gráfica de aceptación es el que recibe más elecciones en la gráfica de rechazo, y aquí ha ocurrido lo mismo. Por lo que podemos determinar que este sujeto se encuentra bastante distanciado del resto del grupo, ahora lo interesante sería averiguar el por qué.
Espero que mi entrada les haya resultado interesante.
¿Habéis realizado un sociograma alguna vez? ¿Con qué finalidad?
¡Os leo en los comentarios!
👋



Comentarios
Publicar un comentario